N,N',N''-trimethyl-1,5,9-triazacyclododecane 1,7-dibenzyl-1,4,7,10-tetrazacyclododecane
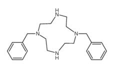
| [Product name]: | 1,7-dibenzyl-1,4,7,10-tetrazacyclododecane ; N(1),N(7)-Dibenzylcyclen; 1,7-DIBENZYL-1,4,7,10-TETRAAZACYCLODODECANE |
| [Structural Formula]: | ![]() |
| [Molecular Formula]: | C22H32N4 |
| [Molecular Weight]: | 352.516 |
| [CAS NO]: | 156970-79-5 |
| [Packing]: |
| Properties | |
| Appearance | |
| Boiling range °C(760 mmHg) | |
| Quality Specifications | |
| Purity% | ≥97.0 |
| Moisture % | ≤0.5 |


Language
